Dedizierte Diode-Montage einheit
Unabhängig montierte Vakuum diode mit transparentem Sicherheits schild
Integrierte Magnetspule
Magnetventil mit 560 Umdrehungen für präzise Magnetfeld ausrichtung
Hochpräzise Maßeinheit
Mikroampere pegel verstärker mit 4,5-stelliger Anzeige (0,1 μA-20mA)
Stabile Spannungs versorgung
Linear abstimm bare Strom versorgung (0-160,0 V DC), wellig
Fort geschrittene Daten erfassung
Duale PASCO-Schnitts tellen für die Daten erfassung in Echtzeit
Bestimmung der Metall elektronen arbeits funktion
Elektronen bewegung in kombinierten elektrischen und magnetischen Feldern (e/m-Messung)
Untersuchung der Fermi-Dirac-Verteilung
Strom-Spannungs-Charakterisierung von idealen Vakuum dioden
Nein. | Teil | Spezifikationen |
1 | Haupt konsole |
|
2 | DC-Strom versorgung |
|
3 | Vakuum-Diode |
|
4 | Solen oid | 560 Umdrehungen |
# | Teile | Modell | Qty. |
1 | Metallelektronen-Arbeits funktions gerät | BEM-5715 | 1 |
2 | Abstimm bare DC-Strom versorgung | BEM-5055 | 1 |
3 | Ideale Vakuumdioden-Montage | BEM-5716 | 1 |
4 | Magnetspule | BC-201026 | 1 |
5 | 2mm rote Bananen-Leads (ummantelt) | BC-104087 | 2 |
6 | 2mm schwarze Bananen-Leads (ummantelt) | BC-104088 | 2 |
7 | 4mm rote Bananen leitung | BC-105084 | 1 |
8 | 4mm schwarze Bananen leitung | BC-105083 | 1 |
9 | 4mm schwarze Bananen-Blei (ummantelt) | BC-105073 | 1 |
10 | 4mm rotes Bananen-Blei (ummantelt) | BC-105074 | 1 |
11 | Netz kabel | BC-105075 | 1 |
12 | 8-poliges Schnitts telle kabel | BC-105077 | 2 |
Experiment 1: Bestimmung der Arbeits funktion
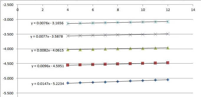
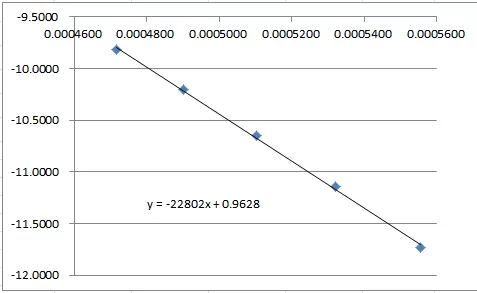
Tabelle 1: Anoden strom charakter istiken im Vergleich zu Spannung und Temperatur


Tabelle 2: Richardson-Analyse parameter


Experiment 2: Messung des Ladungs-Massen-Verlasses

Experiment 3: Fermi-Dirac-Verteilungs studie


Experiment 4: Diode I-V Charakterisierung

UI-5400 Capstone-Daten erfassungs software
UI-5000 850 Universal-Schnitts telle
PS-3211 drahtloser Spannungs sensor (2 Einheiten)
