Dedizierte Dioden montage einheit, unabhängig montierte ideale Vakuum diode mit transparentem Acryl-Sicherheits schild ermöglicht eine klare Beobachtung des Dioden betriebs beim Schutz von Glas komponenten. Sockel merkmale markierten schematischen Diagramm für ein verbessertes konzeptionelles Verständnis
Genaues Anoden strom mess modul: Das Anoden strom mess modul verwendet einen Mikroverstärker-Strom verstärker und ein viereinhalb digitales Anzeige messgerät mit einem Messbereich von bis zu 0,1 uA ~ 20mA. die schwachen Anoden strom genau, fein und stabil messen können.
Stabile Anoden spannungs ausgangs modul: Der Anoden spannungs ausgang verwendet eine lineare Strom versorgung, und die Ausgangs amplitude erreicht 0 ~ 160,0 V, wodurch die Anoden spannung der Vakuum diode stabil und effizient bereit gestellt werden kann.
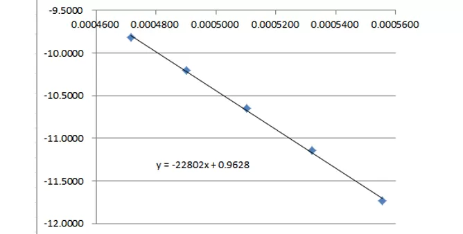
Messa xperiment der elektrischen Metall arbeits funktion (Arbeits funktion).
Lernen Sie grundlegende experimentelle Methoden wie Richardsons Geradlinige Messmethode, Epitaxie-Messmethode und Kompensation messung.
Nein. | Teil | Spezifikationen |
1 | Metall elektrische Arbeits funktion Experimentier gerät | Anoden spannungs modul: Einstellbarer Spannungs bereich von 0 bis 160VDC Anoden strom modul: Messbereich ist 0 bis 20mA Filaments trom modul: Einstellbarer Bereich von 0 bis 800mA |
2 | Idealer Vakuum-Dioden-Kasten | Filament material: Reines Wolfram Anoden material: Nickel Filaments trom: 0,50-0,80 A |
Nein. | Teil | Modell | Menge |
1 | Metallelektronen-Arbeits funktions gerät | BEM-5715 | 1 |
2 | Ideale Vakuumdioden-Montage | BEM-5716 | 1 |
3 | 4mm rote Bananen blei, rot | BC-105084 | 2 |
4 | 4mm rote Bananen leitung, schwarz | BC-105083 | 2 |
5 | 4mm Schwarz Banana Blei (ummantelt), schwarz | BC-105073 | 1 |
6 | 4mm Banane Blei schwarz (ummantelt), rot | BC-105074 | 1 |
7 | Netz kabel | BC-105075 | 1 |
8 | 8-Pin DIN-Verlängerung kabel | BC-105077 | 2 |
UI-5400 Capstone-Daten erfassungs software
UI-5000 850 Universal-Schnitts telle
PS-3211 drahtloser Spannungs sensor (2 Einheiten)
